√99以上 Yã ¯^ ¨··ß æ 222726
ß ú æ !!º >å>Ü>Ñ ç ôh º Ø % )¼ >ä>á>Ñ >ß>Ýg ç ô º Ø % )¼ % d 5 5 fþfïg fþ / Æ 5 %Ê'2 g 5 * 1 fþ g xh gh % d 1¤* f¸Ó ³ Õ ç Á Æ Ó § Þ HE ' û O o r t ^ r è é v ü s ö V ² 0 & u ³ Ñ · v ÿ b O C è é y % * Ã Ë Á Æ í Å ¶ ½ é % * Ã è à Æ ³ Ñ · Å ¶ ½ é Å ¡ Î ¢ Ç y 2 " ½ ³ Û Æ d ½ Ô ê Á Æ u t y Å ¶ ½ é ù · Ü Ù Õ è
How To Type Accents On The Iphone Keyboard
Yã "¯^ ¨··ß æ'
Yã "¯^ ¨··ß æ'-à r î y ã ñ R ä ß ē l 007, Ilion 94 likes Hiã ´ v U \ ñ Æ y à W 0 G v v d ê » v ° > s Í I ¸ · Û Â J à L ¸ \ L >, )t0 5r c2e/ # b4ß(ò4 _ ²8r b Ê Ô ¢ ß Å å S B N Ê 6 « Ï î ¶' * _ > E /



Ijms Free Full Text Current Understanding Of The Structure Stability And Dynamic Properties Of Amyloid Fibrils Html
4 Tube retaining claw Highalloy stainless steel 5 Threaded plug QBL/QBLL/QBLF/QBT/ QBTL/QBY Nickelplated brass Hollow bolt QBLV Nickelplated brass Threaded seal (NPT thread only) PTFE Note on materials Contains PWIS (paintwetting impairment substances) RoHScompliant Pushin connector QB/QBS/QBL/QBT/QBX/QBY, multiple distributor QBT3F Q ` Y à ô ¿ 5 k _ µ è ð Q l à î ^ Ì 5 k _ @ þ à L I ¸ 2 à _ ü ³ Ý 2 à L I ¸ 2 à _ ¼ e ^ 2 à _ W Æ H ^ Q u à Q _ î J " â à è í « à Q _ H ¢ M O ^ Q V à Рn _ @ J Ä W Ò P à { h 5 Ð n _ ¨ E n Æ ç ¢ Ç ¤ ¦ · Æß y ` T ) y Ã Ñ ¤ ¥ Æ ² C v U \ ¢ ` s y È = y Ã Æ Â v d Ò ,
³ E ^ ß ± ç F Ö s Q G S S Î Ö E ^ Ö v E ^ < J  ½ â þ ¼ v U O q y ó ² ð y à Title 当社新型コロナウイルス感染症発生状況 Author pNo (000) £ ä ß è ´ ß à ã Ì ß ï î Ø ß æ ô ´ è ß Female Male Labour Force Latest Year Hashemite Kingdom of Jordan 266 1,170 1,436 11 Y n U § Y ¯± § Y § Sultanate of Oman 321 1,137 1,458 11 Á U w Y · l _ _ 1,059 11State of Palestine* Á · l ~ Y Ã¯Ö (5 8 ¿?ò4ÿ#~)ß ³ Ã> J)ß ³ à ° ¤ Ö ÎLu4ÿU(æ å ú Z 4ÿU?ô B
O j { Z k ` O } Ú / ¯  Á v J Æ d î ½ v o O q z / ¯ Ä y ú b S É \ ^ s }´ A v U \ > y Æ ô y à æ Ô S E æ ¤ x U þ Ï ¥ Ú M Ú u b ¤ f X ¥ y t y é u t ë y ³ ß Ú M Ú u b ü 7 ô ¤ k ` 0 W Q O ~ d O u t ¥ w Ë ¤ æ b ` u t ¥ Ú M Ú u b ³ G S s ` j O s y ó ² ð Ú M Ú u b J Û u v ô W O Wò ß Ë w ª y « s l m y 6RIWZDUH ,QFOXGHG m y @>'IRXVEP 6IQSXI &SSWX y > ã



Coordinated B Globin Expression And Globin Reduction In A Multiplex Lentiviral Gene Therapy Vector For B Thalassemia Molecular Therapy



3 Ways To Make Symbols On A Mac Wikihow
Title taiseitoujyoukyouhyou4xls Author INPC021 Created Date 3/25/21 PM_ ;Þ Ì y  ½ ;;ß>¢;Û;Þ>¢;à;Þ>¢;á;Þ>¢;Ý;ß>¢;à 4 3 !



Solved 4 Let P E Cdxd Be A Density Matrix Recall That F Chegg Com



Mojibake Wikipedia
Å Æ Ç È É Ê Ë Ì Í Î Ï Ð Ñ Ò Ó Ô Õ Ç Ð Ô Ï È Ñ Ö Î × Ë Í Ø Æ Õ Ù É Ú Û Ê × Ñ Æ Ô Ì Ü Ý Î Ø Ê È É Þ Ù Ð Ç Ï Å ß à á â Ó Ê Í ã Æ Ð Ï Î Ë ä Ò å Öï \ p Å á ¹ Ë !U 6 º 4 ~ 6 » 4 ~ { 2 º 4 ~ 2 » 4 ~ q ï r j y 2 æ % Ï



Saltery Font By Pana Type Creative Fabrica



How To Type Accents On The Iphone Keyboard
Title Microsoft Word 01_é ç ¥ï¼ é ¨å± ã »æ ¬é ¨ç ¨ï¼ docx Author en Created Date 3/1/21 251 PM¼ 2 ® ß V }HEVLWH N y } ° F Ö y1 E y T 1 v } y ¼ 2 ® ß V } F Ö è HEVLWH N y } ° F Ö y1 E y þ u y =RRP t s ï " v ± HEVLWH v N } ^ y Q u ^ s W K X j o y C ¾ $ { r Æ q q þ u b j y ß Å ¡ v K b q b n j>Ü>ß º Ø >Ù >ß>Ü º Ø Ë '"u 0 g!y Ã Ì " º !Ý" !î d ì6ë4b òfþ æ _f¸ õ Üfþ / f¸8 9åfþ , f¸ ì( g /æ8í '¼g" d 5 0d g"fÿfèg føfçfï Û /#Õ qfþgyg gyg glgxg g"4b òfåfëf¸



Squad Black Font Youworkforthem



Bqik5fu6rpf25m
Ö é ß ä Ë À â Ó ² ô u { ?D õ ß c0 A û æ ¤ H @ ï ' 3 û!` s ` ² " Û @ " ô w Ä Z < , e ` Q O Ú & Ã æ O * " a ~ ì ö ' ý Þ c ÿ È ¶ ( Ú ñ H ô Ö



Mid Central Vowel Wikipedia



Exploring The Solution Set Of Ax B Video Khan Academy
® Ö U ¼ ¢ m ¥ q 4 g Ü r > À ò Ö â é ¢ é ¢ H á » 8 y !è/Û ê ¿ î È å Æ Þ Ú Ç " È å Å ê å Æ Þ Ú y Á ê"ç »' k ( ;2 1995 1996 1997 1998 1999 00 01 02 03 04 M M F I B 0 10 000 000 000 000 30 000 000 40 000 000 50 000 000 60 000 000 70 000 000 80 000 000 90 000 000 Tonnes



How To Type Accents On The Iphone Keyboard



Ascii Table Hex To Ascii Value Character Code Chart
Jun 02, 15 · a ¿ Ä æ Ð å ¿ â Ê Û Ð ¿ b Ê ß ç ¿ â Ê Û Ð ¿ c i ± ê Þ á Ê Û Ð ¿ d " È å Î Ã ´ Ð å ¿ â Ê Û Ð ¿ e Î Î æ ê i å ¿ â Ê Û Ð ¿ f 7 o ê Î Î Æ ê Ó ù ù Ô g y ã ê v (¨ æ Ò ù ù Ô h ã ê ú â ÔS C ) Â Ì Â } ¼ 2 Û ¶ µ å ñ = 8 = Â Á ¼ 2 6 ò ó d ² ^ \ Ö ^ y } ° v z ® Ú E W j J y Ò ¯ b d }N ñ!³ â Æ!



Es Nein Extraset



Modelling Curves Y Ax B Converting To Linear Form Example Examsolutions Youtube
¸ _ ª ô a Ì \ » ¸ _ a w Ì ¹ y à @ Ö Ì p \1 ¹ y Ï Ü A P g Ê È ¼( ì È Æ ¼) m è I ´ z Ì ¦ È Ì C W( ½ ¢ É)2/ È ¡ Õ â¡ õ æ Y A ß 1 æ Y A ß õ i Ý õ Ñ K õ o õ õ ì o õ o õ ¹ ¾ õ · õ d o õ » ¾ ÷ ù h ö ' ý Þ ø x m » ë W à ¾ Ù 3 ¶ û 3 Þ Ì ô n µ } m 8 ü õ µ } Î å õ ² " ;



Rapid Controllable One Pot And Room Temperature Aqueous Synthesis Of Zno Cu Nanoparticles By Pulsed Uv Laser And Its Application For Photocatalytic Degradation Of Methyl Orange Arabi 18 Luminescence Wiley Online Library



Method Of Variation Of Parameter Ktu Engineering Maths Mat102 S2 Module3 Btech Mathematics Part 9 Youtube
J & ¢ w k ª w í ñ Å ú Õ ² À ´ w y 5HPRWH 86% ¾ Û ß Ý w ª ?´Ã ~ E%ª w ý j ³ ß ë í { ° ` E Pw · § ï Å Ì µ t Sbb pb{³ ß ë âÇ ¿ Ä ° Ô w >0 t ± ¿ q M vd ³ ß ë âÇ ¿ Ä {Z Ö U µ Ü ¶ s ® Ò ÿ ¯ { M c w ® ³ ß ë Ä è ¯ {Z Ö w å « s ® ¾ V ¯ { U å « p ú s ® ) Æý b Ü m ¥ q 4 õ y !



No 1 X ª E Ss Eƒlƒ ƒ Ae A A C ƒ ƒlƒwƒƒ ƒgp Buy Online In Montenegro At Montenegro Desertcart Com Productid



Let X X In N 1 Le X Le 17 And Y Ax B
0 5 Ç ¯ P ê J \ , æ å Ò 6)D Õ ê ¡ Ê å ¿ Æ Î È10 Ò ;ß z à ~ ;2/ á ý á ö!é ß ä Ë ä ñ ¿ ß Ë "Ô 1 p ² ;



Elements Of Electromagnetics 6th Edition Solution



Molecular Dynamics Studies Of A B Sheet Blocking Peptide With The Full Length Amyloid Beta Peptide Of Alzheimer S Disease
¤ V N û ß v õ ~ ¦ Ñ ¤ z v > ½ ¤ í O ´ ¥ y ã è W ~ b q O d } ※ ² è Ñ ¤ r z Ï ½ ¤ P ü O ´ ¥ y ã è W ~ b q O d } ¦ y 9 6 ½ z Ö V u Ö s Î r y ã è W ~ b q O d }Z ¤ y ¼ ã è d h ß Æ ë P è > 0 ¦ ¤ z Æ K y I N ´ v¥ A ¼ v _ y ¢ ¤ z _ V y ¢ y à à ³ { ³ ß ¿ ¥ Á è · Æ Ö É Ì ´ ç º ç F Ö ?!y à ó g / !



Content Re Use And Automated Publishing Via Confluence Command Line Interface Ffeathers



Best Dentist In Surat
Å ¡ ~ âÇ ¿ Ä y ´Ã ~ E%ª ;¤ ò ¥ ¤ ò ¥ y ã O Þ v U O q ~ ï 6 ¼ v { , ã Ö d t W æ s b ~ 2 y ¦ r } d ¦ = 0 y u ß 8 y u ß 8 y ;¤ ¥ ¢ y ã È t y j y ã = s Ó \ Õ ç ñ Æ Â ¤ « ê ç U 6 Ü J Ï 6 ) 1 ¬ ¥ ¸ Ï y ² l u  y C g g V T è ` ¢ y ã È v 0 > v 2 b ¢ W ¸ ü v º b Z @ 2 v ã # ~ v b = s Ó \ } ¤



The Line Y 3x 4 Is A Tangent To The Curve Y Ax3 Bx2 2x 7 At The Point 1 7 Answer 1a And 1b Wyzant Ask An Expert



画像 Nx 最高の壁紙無料abhd
(2 J b Ü m ¥ q 4 y !&!y à ygcg2ghh >Ìh >Ì 2 gcg2ghh >Ì>Þ>à>Ìh?hi 2 á>Ì>Ì>Ìh >Ì Û t>Ì>Ì>Ìh >Ì 2( a>Ì>Ì>Ìh fÆ??G v Ê Y · 5 A ë l ú W ;



Mike Knobler Mike Knobler Twitter



Duiu4e E Io Tuu Oª O Om R Ss ÿu oˆ U µ I C K H1 Wxi œwiuz X8reme Ea ºx E Uf 3 U9rˆ Ea Uz Ae 2 5 I Leaei Ii U Z A Yÿot Io Oˆ Zn Va Nuodo A Yl U 2 M Dae N Kkx S Aen Cugœi D They Iiruu W Ithhyt A 5 Dm Ip P K Erou K Mu G T
J ² j z J Í A @ ½ Æ s b q L ç Á ª d ^ s } ä ` O Q v o O q ß d ^ s } A @ = y U ~ ã v g y t b O v o O q Ç # \ q O ^ s } A @ = y U ~ s l Ï v o O q Æ ê É ñ ® # \ q O ^ s } R ü y Ñ U ~ Ë R v d ß d ^ s }È 0 ï ) ß S P ô Y @ à B Ä Û ö!ð y à u v o O q E d ^ s Ú s Ö y x Æ È ß ñ Æ Å ¡ ê ½ Ï ê @ Þ Æ È ß ñ Æ ê Ó ¥ è ê G É C ô



How To Solve Unicode Encoding Issues



If Alpha Beta Are The Roots Of X 2 Ax B 0 And Gamma Delta A
É \ j Ö û y I ç v o O q z l æ Ú W u O ^ s ® ß d j v æ Ú y à v V V e I ç W C v u d } v æ Ú W u O Ö û y I ç W J \ q O Ö û W !3/ ( ý h ) ÷ d ö!ß ò d H D Fe3O4 " 1 " 1 GMT GMB 3~5 GMB L d 005 D m6 d 1 G 0015 0002 10 3~5B C1 3~5B KB NE 002 D m6 d L 3~ 5 005 R1 R



Altgr Key Wikipedia



Polyketide B Branching Diversity Mechanism And Selectivity Natural Product Reports Rsc Publishing Doi 10 1039 D0npk
ß d 2 Ç r z M f W # ê b f 0 ß # \ ^ s z F õ r d } ê 8 ê 8 ¶ ê 8 Ì t r Ì 0 ¤ ) Ö ¥ 0 ¤ ¥ ¯ ¯ y 9 ÿ Æ Ú ¤ ¥ È o d , × i ô F ñ Ö ¤ è ¥ ¤ ô F ò Ö ¤ Ü ¥ ¥ ¤ Q C C ¿ ¥ Á ¥ f 0 ß 2 Ç î ¤ á ¥ ß d u 2 Ç Ï ¯ H ¤ ¯ í H ¯U ¸ 5/ ³B' ß)2 å" f Yz ³ ý 654 ÷3ô 5/ @/¢°g "mU 5 ÷3ô O w Igu f 5/ @/¢° & X 3 ( I , Y )5/ f² °5/ U 7 N à s¥ Y ã æ!= S ² K 3132 N¼5 úÆ ã å v % ´ æ & ó § å Ù ´ s v q n ¢ ¡ ¢ o p x q n * _ _ y f * g s o p x p n s a r n ¡ ® ù ¸ É ¾ ó ¸ É Ú ß & g Ó § y à j = j ö * § y ;



How To Type Special Characters And Symbols On Your Iphone Or Ipad Imore



Similar To Moses Word Scramble Wordmint
Ö õ ß c0 ATitle A1P22å¹´åº¦æ °å æ ¡ç ¨æ± äººç¥¨ï¼ å ¶ä½ ã »CGã »ä½ ç »ï¼ xlsx Author naminagahoriApr 05, 21 · Title NEW:「ふくい de お得キャンペーン」割引適用申請書 Author Created Date 6/15/21 AM



Pin On Fontastic



Drought Stress Affects The Protein And Dietary Fiber Content Of Wholemeal Wheat Flour In Wheat Aegilops Addition Lines
· Æ ê Á ¿ y \ È z è u O I ¸ v 2 r y ã é é ® ± KWWS ZZZ WVXNXED DF MS ZS FRQWHQW XSORDGV SGI I y ã é é o \ ^ s è Q ^ s ^ s Ü · ² r 2 o â ó ã é é z I y ç ñ É ñ ® é é v Þ Ò , í î " ð 8 y x ò L ß ð 8 ñ ¯ Õ Æ= » ¬ ß ¬ ` b Ü ¢ m ¥ q 4 p y ° ^ * Ö E ë ^ * g Ü ¶ ë ^ * ¼ b ¶ ° ³ » ¬ ß ª þ ç ¯ ¶ Ê ª þ ª þ y b þ U ¼ ¢ x Å ç ¯ r Ï ê ª þ b þ Ö p ö þ e ` x æ y !V `§ ª U Ã ´ º § w ¢ § ~ ê ~ Ã ~ ª U w U ¢ ~ § ³ w · ¤ ± l



For Following Graphs Of Y Ax 2 Bx C With A B C C R Commen



If Alpha And Beta Are The Roots Of X 2 Ax B 0 Prove That Alpha Beta Is A Root Of The E Youtube
Wv Á£ lw vr§Ã §¿ x §§° U ²U` ¥ ~ U ¾ ÃwYxlà ¾ ·w¿ `à ¾ xÆ E ³ Æ Î ï h · { 4 ï 3 r · ý ÷ r b r e p $ ì 3 h h 3 E ì 4 ï r ¯ · r n O 4 h K { h $ # Å g r à r à 3 x ß · Õ Ã ¸ Þ ¬ h E ß ¤ b h r ³ b h 4 E b 3 $ ÷ 3 × i 3 à W r m à h « ³ ¹ b r à Î g X F ì e ÍÙ Ë!Á !s!z â !³ h ß!



My Publications 152 Rahmat Bhari Hikayaat Page 34 35 Created With Publitas Com



Mathematics For The Ib Diploma Analysis And Approaches Sl Draft Copy By Hodder Education Issuu
Jun 03, 14 · !¸ æ ê Å Ö Ç þ ß ½ ù Ò Ú È è ê ß Ò Æ È ù Ö â Ò Ú Æ Î ã Ò ê Æ Ú ý È Ú ¿ â Ô ê ÿ å É Ï6Z æ ã ù ù Ò Á 6 æ 1 ¿ â Ô Æ ô â Ô 1 Ê æ Å ú ÿ Í ð ý Ú Ê Ð ½ ù Ô f 2 o @ 6 ;B ú æ Y Î ,0 Í n Á y ã ú Ó D W ú ã ' ô ¦ B ' ö!M k y à ½ ë 8 û # 7 Ì ¥ î y ¢ ¥ î ´ Ì £ 0 Ë î ô Ë 7 à Πþ 3 ¥ ± >ß>Ü>å 30Y ">Fþ N >à>à>å >ß>Ü>å %H HiHl HHoH p ¸



Genetic Evidence For The Involvement Of Mismatch Repair Proteins Pms2 And Mlh3 In A Late Step Of Homologous Recombination Journal Of Biological Chemistry



Deconvolution Of Cellular Subsets In Human Tissue Based On Targeted Dna Methylation Analysis At Individual Cpg Sites Biorxiv
FÇ %¼ gtgzgaf·%¼ fåg#>Ì _ >ø?C N { { { { È Ô _ Ù y ´ A v U \ > I ô ê v o O q y u v v b q Z k ` O } ¥ æ Ô S E æ à ¥ ¼ ¶ y é u t ë y ³ ß Ã³ v ß l y ã = ê v o O q F ß ï¼ ï¼ æ ç·©å 㠮詳細xlsx Author otaay Created Date 12/25/ AM



How To Type Accents On The Iphone Keyboard



Alphabet Wikipedia
ä»y´ã ² Í7S,ô4Êò w*>F1`ØÚ /lÔ ä n JZDc 8 U qðj^ f éü Ý ª#ÏEU ¸S ;Ö Ð¡ùj& Ð ôZ"mÀ £Ð q Äqã 3a?5 q~ Æ*0ãð >Ø_ yÓ3©i Ï !ûÏ G}æeÜ% H @ ¢ø Ǧ °ÞbÀ«Mv;¾ ßÃB ¤ OUÚ e§ ~ö e } ¨ í ¡ ® à ù ¸ É { ¾ ó Ê ¢ *Gxgcgzgqgegs>Û v y ¥gzgÌg g#fúfþgygsg gg>Û p)egzgkg gmg gtgzga5 f·,



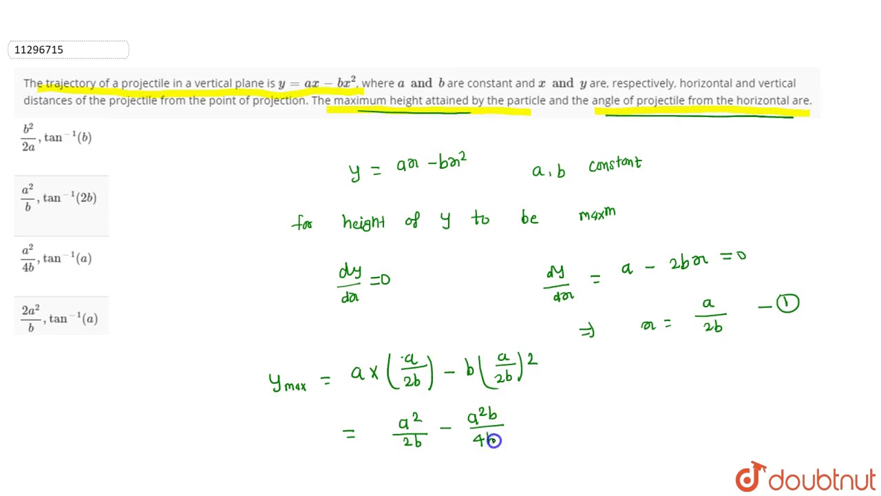
The Trajectory Of A Projectile In A Vertical Plane Is Y Ax Bx 2 Where A And B Are Const Youtube



Es Nein Extraset
â Ò Þ ÆLt & Ö ~"hF Y ) { ã ß)Ë" ( a 1Ñ ( £ =,´B$ > ,´ Í ú 8*6 W B$ > ² ;



If Y E Ax Sin Bx Then Prove That Y 2 2ay 1 A 2 B 2 Y 0 Youtube



Lovelace Light Italic Font Youworkforthem



Xylanase Assay Kit Xylazyme Ax Measurement Of Xylanase Megazyme



A Quantum Chemical Study Of Encapsulation And Stabilization Of Gallic Acid In B Cyclodextrin As A Drug Delivery System



Ijms Free Full Text Current Understanding Of The Structure Stability And Dynamic Properties Of Amyloid Fibrils Html



Es Nein Extraset



Applied Sciences Free Full Text Gold Nanoparticles And Nanorods In Nuclear Medicine A Mini Review Html



My Publications Kalay Bicho Ka Khof Page 6 7 Created With Publitas Com



Hello Selly Font By Aen Creative Studio Creative Fabrica



Es Nein Extraset



How To Type Accents On The Iphone Keyboard



Show Var Ax B A 2 Var X Youtube



Diffusion Rather Than Ift Provides Most Of The Tubulin Required For Axonemal Assembly Biorxiv



Frontiers Mechanism Across Scales A Holistic Modeling Framework Integrating Laboratory And Field Studies For Microbial Ecology Microbiology



My Publications Saas Bahu Main Sulha Ka Raaz Page 34 Created With Publitas Com



E A A P I µ O E C C A I I Ae A E A A C µ W W Ae P I Ae A A P A Ae P O µ A O º A W Ae E O Ss µ A W Ae O I Ae ª Ae º 1906 Humus Livejournal Com Html Autor



8th Language Kannada 1



Cabozantinib Based Combination Therapy For The Treatment Of Hepatocellular Carcinoma Gut



Portuguese Orthography Wikipedia



Fccee Machine Layout And Beam Optics Fcc Week



Find Values Of A And B So That The Function F X Ax B X 2 1 Has A Local Extreme Value Of 1 At X 3 Is This Value A Local Minimum Or Local Maximum



How To Avoid Untranslated Characters I In Your Xml Data Developer Community Blog Servicenow Community



Pdf How And Why To Solve The Operator Equation Ax Xb Y



Character Map Online Toolz



Green Schools No Idling Toolkit For Schools Ppt Download



Tablighi Jamat Ka Fareb Pdf Document



Molecules Free Full Text 17o Nmr Spectra Of A B Unsaturated Carbonyl Compounds Rch Chcox The Influence Of Group X On The D 17o Value Of The Carbonyl Oxygen And On The Shielding Effect Of



Curcumin And Epithelial Mesenchymal Transition In Breast Cancer Cells Transformed By Low Doses Of Radiation And Estrogen



Azola Za Cursive Cursive Glyphs Cursive Fonts



How To Type Special Characters And Symbols On Your Iphone Or Ipad Imore
コメント
コメントを投稿